Skip to content Skip to sidebar Skip to footer

Widget HTML #1

How To Find R Squared In Excel : How do you calculate r squared in excel?

How To Find R Squared In Excel : How do you calculate r squared in excel?. R square of these values can be calculated using formula =rsq( a2:a15, b2:b15 ) as shown in the above. Excel help reads for logarithmic, power, and exponential trendlines, excel uses a transformed regression model, but i am not able to find that model. It is used to tell the goodness of fit of data point on regression line. The correlation coefficient, r can be calculated by using the function correl. I have the same question (0) subscribe subscribe.

Example of rsq function in excel (r square function): It is used to tell the goodness of fit of data point on regression line. Tutorial shows how to calculate a linear regression line using excel. Lastly, sum all the values to get the ess statistics. Obey the following steps to insert this symbol (²) in word or excel using the insert symbol dialog box.

How To Calculate R Squared In Excel With Examples Statology
How To Calculate R Squared In Excel With Examples Statology from www.statology.org
How do i find the r squared value (something to do with error) for my scatterplot on excel? In technical terms, it is the proportion of the variance in the response variable that can be explained by the predictor variable. Example of rsq function in excel (r square function): The different different is to discover a correlation and then sq. Click 'close' to close the window. R 2 or coefficient of determination, as explained above is the square of the correlation between 2 data sets. Where x and y are the sample means average (known_x's) and average (known_y's). R squared can then be calculated by squaring r, or by simply using the function rsq.

I have the same question (0) subscribe subscribe.

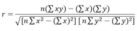
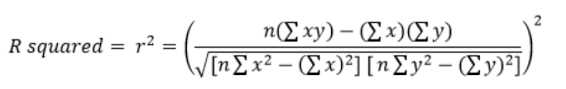
Click 'close' to close the window. R square of these values can be calculated using formula =rsq( a2:a15, b2:b15 ) as shown in the above. Example of rsq function in excel (r square function): Where known_y's and known_x's are two arrays of numeric values that are of equal length which you want to calculate the r square of. R squared formula = r2 where r the correlation coefficient can be calculated per below: In cell c2, calculate the radius as =b2/2. The correlation coefficient, r can be calculated by using the function correl. For the calculation of r squared, you need to determine the correlation coefficient, and then you need to square the result. In the future, r will includes, in all likelihood, this measure in the summary of the lm and related functions. R squared can then be calculated by squaring r, or by simply using the function rsq. In column e, enter the quantity of pizzas. It is used to tell the goodness of fit of data point on regression line. The equation for the pearson product moment correlation coefficient, r, is:

It is also called the coefficient of determination, or the coefficient of multiple determination for multiple regression. I have the same question (0) subscribe subscribe. R squared can then be calculated by squaring r, or by simply using the function rsq. Using insert symbol dialog box (word, excel, powerpoint) the insert symbol dialog box is a library of symbols from where you can insert any symbol into your word document with just a couple of mouse clicks. A value of 0 indicates.

Adjusted R Squared Formula Calculation With Excel Template
Adjusted R Squared Formula Calculation With Excel Template from cdn.educba.com
A value of 0 indicates. Example of rsq function in excel (r square function): Where x and y are the sample means average (known_x's) and average (known_y's). In cell c2, calculate the radius as =b2/2. The different different is to discover a correlation and then sq. How do you calculate r squared in excel? In technical terms, it is the proportion of the variance in the response variable that can be explained by the predictor variable. Obey the following steps to insert this symbol (²) in word or excel using the insert symbol dialog box.

Click the radio button next to 'linear' in the format trendline window.

The closer to 1.0, the better the fit of the regression line. Obey the following steps to insert this symbol (²) in word or excel using the insert symbol dialog box. The different different is to discover a correlation and then sq. The column x and y contains the two array values. It is the squared value of correlation coefficient. Rsq returns r2, which is the square of this correlation coefficient. It is used to tell the goodness of fit of data point on regression line. It is also called the coefficient of determination, or the coefficient of multiple determination for multiple regression. The equation for the pearson product moment correlation coefficient, r, is: You can follow the question or vote as helpful, but you cannot reply to this thread. Your graph should now look like figure 6. In column e, enter the quantity of pizzas. Click 'close' to close the window.

R 2 or coefficient of determination, as explained above is the square of the correlation between 2 data sets. Value) short form r square calculation method = ess / tss. Click the radio button next to 'linear' in the format trendline window. In cell c2, calculate the radius as =b2/2. Tutorial shows how to calculate a linear regression line using excel.

Graphing With Excel Linear Regression
Graphing With Excel Linear Regression from projects.ncsu.edu
For the calculation of r squared, you need to determine the correlation coefficient, and then you need to square the result. The equation for the pearson product moment correlation coefficient, r, is: It is used to tell the goodness of fit of data point on regression line. The correlation coefficient, r can be calculated by using the function correl. R square of these values can be calculated using formula =rsq( a2:a15, b2:b15 ) as shown in the above. Where x and y are the sample means average (known_x's) and average (known_y's). If r 2 is 0, it means that there is no correlation and independent variable cannot predict the value of the dependent variable. In technical terms, it is the proportion of the variance in the response variable that can be explained by the predictor variable.

In column e, enter the quantity of pizzas.

Tutorial shows how to calculate a linear regression line using excel. Area is pi times radius squared. R squared can then be calculated by squaring r, or by simply using the function rsq. The column x and y contains the two array values. R squared can then be calculated by squaring r, or by simply using the function rsq. R 2 or coefficient of determination, as explained above is the square of the correlation between 2 data sets. Example of rsq function in excel (r square function): Once all the important elements are calculated you are ready to compute the r squared value. For the calculation of r squared, you need to determine the correlation coefficient, and then you need to square the result. It is used to tell the goodness of fit of data point on regression line. Obey the following steps to insert this symbol (²) in word or excel using the insert symbol dialog box. The different different is to discover a correlation and then sq. R squared formula = r2 where r the correlation coefficient can be calculated per below:

In column e, enter the quantity of pizzas how to find r in excel. Area is pi times radius squared.